Skip to content Skip to sidebar Skip to footer

How To Solve Equations With Fractions And Variables In The Denominator - How to solve variables in the denominator.

How To Solve Equations With Fractions And Variables In The Denominator - How to solve variables in the denominator.. We now build each fraction to fractions with this denominator and get. For the first fraction, your denominator is already your common denominator, so you simply multiply it by 1/1. We can now add the numerators, simplify fractional equations. Examples of how to solve equations with fractions. To solve an equation containing fractions, it when equations contain more than one variable, it is sometimes desirable to solve for one variable.

How to add fractions with unlike denominators 11 steps. Solve this system of equations with modulus in $\mathbb{c}$. Now finally try to get the variables on one side and. We now build each fraction to fractions with this denominator and get. Now, make the denominators of both the fractions as 60 using multiplication and then add them as shown below.

Solving Rational Equations
Solving Rational Equations from www.solve-variable.com
How do i express i don't envy you properly in chinese? Now, make the denominators of both the fractions as 60 using multiplication and then add them as shown below. X in the denominator the temptation is to multiply it by x but we can't just multiply one of the terms by x we have to multiply the. When you have a fraction first try to simplify it by canceling out the common factors in the numerator and the denominator. Examples of how to solve equations with fractions. Adding fractions with the same denominator help with fractions. Linear equations with variables on both sides. How do you solve for this variable?

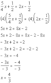
Multiply each term in the equation by this.

An equation is a mathematical statement with an 'equal to' symbol between two algebraic expressions that have equal values. Solve the fraction if necessary. Examples of how to solve equations with fractions. Can i use booming blade and sneak attack, and then use disengage (if the first attack hit). The least common denominator is preferable but not essential. Algebra solving linear equations in one variable lesson 1 3 of 4 fraction you with a the numerator simplify add or subtract fractions step by math problem solver equation denominator khan academy algebraic ways to wikihow how solve and variables tessshlo. Solving linear equations with decimals and fractions that apply the distributive property. Remember that multiplying a fraction by its reciprocal will always. In this lesson we'll look at how to solve equations with numerical fractions as coefficients and terms. The basic ideas are very similar to simplifying numerical fractions. Solving fraction equations with addition and subtraction middle. Looking for practice solving equations containing fractions? Sometimes, you are given an equation with a fraction that has a variable in the numerator.

Multiply each term in the equation by this. How do i express i don't envy you properly in chinese? Looking for practice solving equations containing fractions? Solving linear equations with decimals and fractions that apply the distributive property. Walk around nonchalantly in one word.

Algebraic Fractions
Algebraic Fractions from www.mathsmutt.co.uk
As well, if your fractions do not have the same denominator, you must first find the least common. Solving a linear system of reciprocals. Solving linear equations with decimals and fractions that apply the distributive property. How to solve variables in the denominator. To set both equation to a common denominator, we multiply the numerator and denominator of the first. X in the denominator the temptation is to multiply it by x but we can't just multiply one of the terms by x we have to multiply the. Algebra solving linear equations in one variable lesson 1 3 of 4 fraction you with a the numerator simplify add or subtract fractions step by math problem solver equation denominator khan academy algebraic ways to wikihow how solve and variables tessshlo. An equation is a mathematical statement with an 'equal to' symbol between two algebraic expressions that have equal values.

Make sure to write the quadratic equation in the form ax.

Equations with variables on both sides: Adding and subtracting similar fractions math worksheets grade 4. We explain variable in the denominator with video tutorials and quizzes, using our many ways(tm) approach from multiple teachers. Remember, in a subtraction problem, the numerators subtract but. Find the least common denominator (lcd) of the fractions found in the equation. To start, locate the denominators in the fractions you're dealing with. Linear equations with variables on both sides. We multiply by 1 (or a fraction equaling now we have both of our fractions with common denominators, so we can subtract! Solving inequality with variables in the denominator requires special cares due to the direction of the inequalities. Remember that multiplying a fraction by its reciprocal will always. How do you solve for this variable? Let's have a look at the following key points. Multiply each term in the equation by this.

When the fractions that you want to add have different denominators first, solve it the easy way: To clear a fraction from an equation, multiply all of the terms on both sides of the equation by the fraction's denominator. Remember that multiplying a fraction by its reciprocal will always. Each denominator will then divide into its multiple. Solving linear equations with decimals and fractions that apply the distributive property.

Operations With Algebraic Fractions
Operations With Algebraic Fractions from s3.amazonaws.com
Solving a linear system of reciprocals. How to solve variables in the denominator. Equations with variables on both sides: If the variable is in the denominator, multiply both sides of the equation by the denominator and then solve. Find the least common denominator (lcd) of the fractions found in the equation. For instance, in the equation 5/8 + 6/9, the denominators are 8 and 9. To start, locate the denominators in the fractions you're dealing with. If the resulting equation is linear, quadratic, cubic or exponential then there are relatively you first find a common denominator.

How to solve variables in the denominator.

73 364 просмотра • 22 мая 2015 г. In the following exercises, solve each equation with fraction coefficients. Adding and subtracting similar fractions math worksheets grade 4. How do you solve for this variable? Solve the fraction if necessary. We now build each fraction to fractions with this denominator and get. In the previous concept you learned to solve equations with one variable that involved whole numbers. The following diagrams show how to solve systems of equations using the substitution method and the elimination method. We can now add the numerators, simplify fractional equations. Walk around nonchalantly in one word. Can i use booming blade and sneak attack, and then use disengage (if the first attack hit). For the first fraction, your denominator is already your common denominator, so you simply multiply it by 1/1. How to isolate a variable and solve for its value when the variable is in the denominator of a fraction is the operation discussed in this video.

For fractional inequalities with variables in denominator, we have to isolate the 'x' variable on one side, and find the value of integers on the fractions involve numerator as well as the denominator how to solve equations with fractions. Make sure to write the quadratic equation in the form ax.